广义客户洞察力方法探讨
客户世界|李勇 宋加山 季峰|2006-10-19
p>
p>
很多公司或企业在经历了数年的业务发展后,积累了大量的历史数据。通过对这些历史数据的挖掘,可以识别和分析客户的行为特征,对市场进行评估和预测,并制订相关的营销策略或战略规划,业务流程从而形成了一个高效的闭环系统,能够更具针对性地把握客户行为特征、把握市场脉搏,为客户提供更加理性化、个性化的产品与服务,实现企业利益的最大化和损失的最小化。
客户关系管理(Custom Relationship Management,CRM)倡导的是对客户的终身锁定,强调从客户忠诚度的角度来细分客户,如果用一个二维座标来描述的话,它应该是客户生命周期和客户忠诚度,而不是支付能力;如果这个客户足够忠诚的话,即使他自己缺少支付能力,同样也可以成为一个有价值的客户,因为他可以向其他人推荐。观察问题角度不同导致了划分客户的标准不同,背后的洞察力起着关键作用。对客户关系的洞察力既反映在企业客户关系管理战略中,同时也反映在公司的企业文化中。这种洞察力就是企业的客户关系能力,它来源于企业自身的运营环境和营销战略,而不简单的来源于报表。
一.广义客户概念
对于企业而言,广义客户是指企业提供产品和服务所涉及的内部和外部的对象,不仅包括传统意义上的下游消费群体,而且还包括了上游的供货商和企业内部员工。这是一个多层次的分类标准,整合了以企业为中心的供应链环节,克服了传统观念中只把下游买方定义为客户的局限性,拓宽了客户定义的内涵与外延。
商业竞争的加剧和经济全球化的趋势以及买方市场格局的形成,使得客户的角色不断发生转变,从单一的消费者变成多角色:消费者、共同经营者、价值共同创造者、知识和能力的共同创造者等(详见《客户世界》2006年第八期)。因此,在市场激烈的竞争中,企业,尤其是电信、金融服务和零售业,首先要了解其所面对的客户是什么,通过对广义客户信息的收集整理,运用数据挖掘技术和现代统计分析方法从海量的杂乱的数据中寻找出潜在的规律,从而为企业提供决策支持。例如对于呼叫中心的员工而言,我们可以将其作为广义客户纳入系统模型中,通过对其座席、呼叫次数、用户反馈信息等变量作为绩效评价的依据,从而识别座席人员的表现优劣,为企业留住人才和吸引人才提供有效的激励机制。
二.广义客户洞察力分析模型
1、客户识别
客户识别即在广泛的客户群体中,通过从各种客户互动途径包括互联网、客户跟踪系统、呼叫中心档案等收集详尽的数据,并把它们转化成为管理层和决策者可以使用的有价值的信息,使其从中识别出客户行为特征;也就是说,不再从产品和服务角度出发去考虑市场怎么做,而是先分析、挖掘我们的潜在客户是哪些,他们的主要特征、兴趣和购买动向等。
企业所面对的客户市场是一个极其复杂的群体,群体间的特性也较为丰富,首先是确定一系列能够准确反映客户资料的客观指标,而选择客观指标可以归结为特征选择的一个分类问题,对相关属性的列表值进行识别,观察其是否能够影响客户忠诚度和流失可能性的分类。这就要求系统能够识别出具有不同特性的群体的差异需求,我们可以根据企业各年度(季度/月度)销售数据、行业代表性企业销售数据、现有销售的客户资料来分析潜在客户群中,我们的目标客户是定位在哪一类客户群中,他们的主要特征是什么,需要针对性的跟进措施有哪些。
在客户识别方法上,传统做法是依赖专家自己的判断建立一系列的客观指标,然而其在模式识别能力和数据的动态性上存在局限性。因此,我们常用递归分类算法来进行分类。
递归分类树(Recursive Classification Tree, RCT)是一种较好的分类技术,是由Morgan和Sonquist于1963年最早提出的自动交互检查方法发展而来,其基本思想是递归分割算法,其中递归分割算法是作为拟合最小二乘回归模型的一种方法。递归分类树不象传统方法那样通过判别函数形成决策规则来判别样本所属的类型,而是创立了一个对原始样本进行最佳分割判别的分类树,采用了一种非返回跟踪的分割方法将样本集递归分割成不相交的子集,旨在使期望误判损失达到最小。递归分类树是通过计算机实现的,基于现代统计理论的非参数识别技术,其算法将统计分析和计算机运算有机相结合。
使用分类树算法来识别客观指标,应用于目标客户的数据,得到相应的分类规则,显示在分类规则中的属性是客观指标。通过关联规则,能够客观识别对目标类目前最具有影响力的指标集合,用来和领域专家主观确定的指标集合比较。作为客观识别和主观判断交叉验证过程的结果,显然在量度客户忠诚度和流失可能性时更具有时效性更可靠。
2、客户细分
客户细分是在客户识别基础上根据客户行为特征对不同目标客户制定不同的营销策略,企业可以对所有不同需求信息之间的复杂关系进行分析,按照需求差异进行客户市场的细分,根据某一确定的主题定位,从选择某一单一客户需求群体中挖掘不同客户群的业务特征,从而为企业相应的职能部门提供决策意见。实际上,客户细分就是管理维度的缩减,将客户管理降低到可操作的、可实现的维度上,从而进行客户洞察力分析。
客户细分使差异化成为可能,使提供的产品和服务更直接的针对某一特定客户群。现以移动通讯行业客户为例,通过客户细分,分析品牌整合高、中端人群行为消费特征,为其进行差异化设计服务,并对品牌整合的效果从客户细分角度进行监测;通过研究分析有价值的离网用户行为特征,进行有针对性的服务设计和活动策划;对客户进行细分后,向客户提供有针对性的服务,且在推荐产品或进行调查前便可了解用户的行为特征、生活方式等。用洞察力营销(Insight Driven Marketing,IDM)等数据挖掘工具对客户基本信息变量、行为变量以及相关的协变量信息,如:月平均费用、区内费用、是否特定机型、是否有小灵通短信功能、年龄、性别等,对类型基本一致的客户进行聚类。
从机器学习的角度看,分类方法有两类,一类是无指导学习的,比如聚类分析;另一种是有指导学习的,比如Logistic分类法。以聚类分析为例说明:
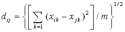
聚类分析( Clustering)的主要依据是在客户总体样本中把相似的样本归为一类,而把差异大的客户样本区分开来。在由m个变量组成为m维的空间中可以用多种方法定义样本之间的相似性和差异性统计量。
用Xik表示第i个样本第k个指标的数据,Xjk表示第j个样本第k个指标数据;dij表示第i个样本和第j个样本之间的距离,根据不同的需要,距离可以定义为许多类型,最常见、最直观的距离是欧式距离,其定义如下:
.gif)
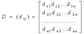
依次求出任何两个点的距离系数dij (i,j=l,2,…,n)以后,则可形成一个距离矩阵:
.gif)
在此基础上就可以根据最短距离法或最长距离法等,进行逐步归类,最后形成一张聚类分析谱系图。
3、客户预测
客户预测是通过分析目标客户的历史信息和客户特征,预测客户在未来活动中可能的服务期望和行为特征的细微变化。例如针对商业客户,公司根据预测模型将消费细分为成长型、稳定型、波动型和流失型等类型,分别采用差异化的策略进行个性化服务,从而保住了存量。还可以利用客户流失预测模型,将客户流失期望排序,采取对应群组特征的策略挽留客户。
据一项权威调查显示,使用了预测模型后,营销人员只需挑选购买可能性高的10%即20000客户进行营销,20人的营销团队只需20天的时间,成功率则可达到40%。公司摒弃以往仅依据客户APRU来划分客户群的方法,实施多维度、综合的、动态的分群,注重对客户行为等多种因素进行综合考虑,全面考虑了客户价值、客户行为和竞争情况,从多角度细分客户群。
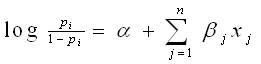
预测模型一般采用统计模型,常用的是Logistic回归模型。一般来说,其基本形式如下:
.gif)
其中:Xi为自变量,在预测模型中可以表征为反映客户的特征变量;α和β分别为回归截距和回归系数;P(yi=1|Xi)=pi,pi为第i个案例发生事件的概率,它是一个由解释变量Xi构成的非线性函数。
相对而言,Logistic判别方法在处理结构复杂的数据中表现很好:①是一种部分分布的样本分析,只作较少的分布假设,这样它较好地利用了客户样本数据的一些分布信息,同时在样本分布发生些变化时判别的效果不至于太差,具有一定的稳健性。②适合于连续型、离散型或这两种的混合型变量。能够有效的解决客户建模所遇到的不同变量问题③所用到的部分分布假设有利于判别系统的升级、二次项判别以及检验等。
从总体上考虑,由于客户行为数据分布较不规律,且其数据多为连续型和离散型混合,因此,利用Logistic判别分析来建立客户评分模型,是一种较为理想的方法。
三.结束语
客户资源是企业的宝贵财富,从不同渠道、不同地区收集的客户信息来构建一个统一的客户信息资源库,进行客户资源整合和洞察力分析,近而进行客户关系管理,可以帮助企业识别客户行为特征,进而细分目标客户,帮助企业相应的职能部门遴选出需要关注的客户,同时从客户价值潜力的角度来分配拜访指标,实现资源的优化并使得效用最大化,因此对客户历史数据进行挖掘,为企业提供决策依据,在客户关系管理中表现的愈来愈重要。
本文刊载于《客户世界》2006年9月刊;作者李勇为中国科技大学管理学院博纳数据挖掘中心副主任;宋加山、季峰为博纳数据挖掘中心高级研究员。
责编:admin
转载请注明来源:广义客户洞察力方法探讨
相关文章
- 麦当劳让我学会的:了解顾客
- 解读顾客购买决策的复杂性
- 预测分析:未来学家的公式
- 浅谈通信服务客户体验提升
- 明明白白你的心:多维度客户信息管理
- 如何从微博中挖出你感兴趣的“潜水者”
- 客户洞察如何取得速赢
- 云计算将把IT从业者引向数据挖掘











